Chlorine Gas + Sodium Metal . the reaction between sodium and chlorine is a classic chemistry demonstration that highlights how different the properties of a compound can be from its constituent elements. The hot sodium reacts with the. reaction of sodium and chlorine. the water reacts with the sodium and the reaction generates enough heat to melt the sodium. the reaction product is sodium chloride (table salt). In this demonstration, sodium metal reacts with chlorine gas to produce sodium chloride. If you perform this experiment incorrectly, however, you can end up with broken gas jars and confusing results. sodium metal is melted using a bunsen burner and then lowered into gaseous. in another example of a chemical reaction, sodium metal reacts with chlorine gas to form solid sodium chloride.
from www.chegg.com
reaction of sodium and chlorine. the reaction between sodium and chlorine is a classic chemistry demonstration that highlights how different the properties of a compound can be from its constituent elements. The hot sodium reacts with the. If you perform this experiment incorrectly, however, you can end up with broken gas jars and confusing results. in another example of a chemical reaction, sodium metal reacts with chlorine gas to form solid sodium chloride. the water reacts with the sodium and the reaction generates enough heat to melt the sodium. In this demonstration, sodium metal reacts with chlorine gas to produce sodium chloride. the reaction product is sodium chloride (table salt). sodium metal is melted using a bunsen burner and then lowered into gaseous.
Solved 6. Sodium metal reacts with chlorine gas to produce
Chlorine Gas + Sodium Metal the reaction product is sodium chloride (table salt). In this demonstration, sodium metal reacts with chlorine gas to produce sodium chloride. the reaction product is sodium chloride (table salt). If you perform this experiment incorrectly, however, you can end up with broken gas jars and confusing results. in another example of a chemical reaction, sodium metal reacts with chlorine gas to form solid sodium chloride. The hot sodium reacts with the. reaction of sodium and chlorine. sodium metal is melted using a bunsen burner and then lowered into gaseous. the reaction between sodium and chlorine is a classic chemistry demonstration that highlights how different the properties of a compound can be from its constituent elements. the water reacts with the sodium and the reaction generates enough heat to melt the sodium.
From www.alamy.com
Sodium Chloride ionic bond formation. NaCl structure. Sodium and Chlorine Gas + Sodium Metal If you perform this experiment incorrectly, however, you can end up with broken gas jars and confusing results. reaction of sodium and chlorine. the reaction between sodium and chlorine is a classic chemistry demonstration that highlights how different the properties of a compound can be from its constituent elements. The hot sodium reacts with the. sodium metal. Chlorine Gas + Sodium Metal.
From stock.adobe.com
Vecteur Stock Synthesis reaction sodium chloride formation of sodium Chlorine Gas + Sodium Metal If you perform this experiment incorrectly, however, you can end up with broken gas jars and confusing results. the water reacts with the sodium and the reaction generates enough heat to melt the sodium. sodium metal is melted using a bunsen burner and then lowered into gaseous. the reaction product is sodium chloride (table salt). In this. Chlorine Gas + Sodium Metal.
From slideplayer.com
CHEMICAL BONDING. ppt download Chlorine Gas + Sodium Metal the reaction between sodium and chlorine is a classic chemistry demonstration that highlights how different the properties of a compound can be from its constituent elements. the reaction product is sodium chloride (table salt). sodium metal is melted using a bunsen burner and then lowered into gaseous. In this demonstration, sodium metal reacts with chlorine gas to. Chlorine Gas + Sodium Metal.
From www.alamy.com
Table salt. The constituents of common salt, a vial of chlorine gas and Chlorine Gas + Sodium Metal the water reacts with the sodium and the reaction generates enough heat to melt the sodium. In this demonstration, sodium metal reacts with chlorine gas to produce sodium chloride. If you perform this experiment incorrectly, however, you can end up with broken gas jars and confusing results. the reaction product is sodium chloride (table salt). reaction of. Chlorine Gas + Sodium Metal.
From www.youtube.com
Balancing and Writing the Equation for Sodium + Chlorine gas YouTube Chlorine Gas + Sodium Metal the water reacts with the sodium and the reaction generates enough heat to melt the sodium. The hot sodium reacts with the. In this demonstration, sodium metal reacts with chlorine gas to produce sodium chloride. in another example of a chemical reaction, sodium metal reacts with chlorine gas to form solid sodium chloride. If you perform this experiment. Chlorine Gas + Sodium Metal.
From www.chegg.com
Solved Sodium metal reacts with chlorine gas in a Chlorine Gas + Sodium Metal the reaction product is sodium chloride (table salt). the reaction between sodium and chlorine is a classic chemistry demonstration that highlights how different the properties of a compound can be from its constituent elements. In this demonstration, sodium metal reacts with chlorine gas to produce sodium chloride. sodium metal is melted using a bunsen burner and then. Chlorine Gas + Sodium Metal.
From www.slideserve.com
PPT General Chemistry (I Chlorine Gas + Sodium Metal the reaction between sodium and chlorine is a classic chemistry demonstration that highlights how different the properties of a compound can be from its constituent elements. the reaction product is sodium chloride (table salt). The hot sodium reacts with the. sodium metal is melted using a bunsen burner and then lowered into gaseous. the water reacts. Chlorine Gas + Sodium Metal.
From kristinmoonscience.com
The "Secrets" Revealed in the Periodic Table Kristin Moon Science Chlorine Gas + Sodium Metal reaction of sodium and chlorine. the reaction product is sodium chloride (table salt). in another example of a chemical reaction, sodium metal reacts with chlorine gas to form solid sodium chloride. In this demonstration, sodium metal reacts with chlorine gas to produce sodium chloride. If you perform this experiment incorrectly, however, you can end up with broken. Chlorine Gas + Sodium Metal.
From www.slideserve.com
PPT Equations & Reactions PowerPoint Presentation ID5325584 Chlorine Gas + Sodium Metal The hot sodium reacts with the. the reaction between sodium and chlorine is a classic chemistry demonstration that highlights how different the properties of a compound can be from its constituent elements. in another example of a chemical reaction, sodium metal reacts with chlorine gas to form solid sodium chloride. reaction of sodium and chlorine. sodium. Chlorine Gas + Sodium Metal.
From www.youtube.com
Type of Reaction for Na + Cl2 = NaCl (Sodium + Chlorine gas) YouTube Chlorine Gas + Sodium Metal The hot sodium reacts with the. If you perform this experiment incorrectly, however, you can end up with broken gas jars and confusing results. the water reacts with the sodium and the reaction generates enough heat to melt the sodium. the reaction between sodium and chlorine is a classic chemistry demonstration that highlights how different the properties of. Chlorine Gas + Sodium Metal.
From theodoregray.com
Facts, pictures, stories about the element Chlorine in the Periodic Table Chlorine Gas + Sodium Metal the water reacts with the sodium and the reaction generates enough heat to melt the sodium. sodium metal is melted using a bunsen burner and then lowered into gaseous. the reaction between sodium and chlorine is a classic chemistry demonstration that highlights how different the properties of a compound can be from its constituent elements. reaction. Chlorine Gas + Sodium Metal.
From www.slideserve.com
PPT Chemical Reactions PowerPoint Presentation, free download ID Chlorine Gas + Sodium Metal in another example of a chemical reaction, sodium metal reacts with chlorine gas to form solid sodium chloride. The hot sodium reacts with the. the water reacts with the sodium and the reaction generates enough heat to melt the sodium. reaction of sodium and chlorine. In this demonstration, sodium metal reacts with chlorine gas to produce sodium. Chlorine Gas + Sodium Metal.
From fphoto.photoshelter.com
science chemistry exothermic reaction sodium chloride Fundamental Chlorine Gas + Sodium Metal the reaction product is sodium chloride (table salt). The hot sodium reacts with the. sodium metal is melted using a bunsen burner and then lowered into gaseous. the water reacts with the sodium and the reaction generates enough heat to melt the sodium. If you perform this experiment incorrectly, however, you can end up with broken gas. Chlorine Gas + Sodium Metal.
From fphoto.photoshelter.com
sodium chlorine elements Fundamental Photographs The Art of Science Chlorine Gas + Sodium Metal the reaction between sodium and chlorine is a classic chemistry demonstration that highlights how different the properties of a compound can be from its constituent elements. reaction of sodium and chlorine. The hot sodium reacts with the. the water reacts with the sodium and the reaction generates enough heat to melt the sodium. in another example. Chlorine Gas + Sodium Metal.
From sciencephotogallery.com
Sodium Burning In Chlorine by Science Photo Library Chlorine Gas + Sodium Metal the reaction product is sodium chloride (table salt). the water reacts with the sodium and the reaction generates enough heat to melt the sodium. If you perform this experiment incorrectly, however, you can end up with broken gas jars and confusing results. In this demonstration, sodium metal reacts with chlorine gas to produce sodium chloride. reaction of. Chlorine Gas + Sodium Metal.
From www.youtube.com
Making Table Salt using Sodium Metal and Chlorine gas YouTube Chlorine Gas + Sodium Metal the reaction product is sodium chloride (table salt). reaction of sodium and chlorine. in another example of a chemical reaction, sodium metal reacts with chlorine gas to form solid sodium chloride. sodium metal is melted using a bunsen burner and then lowered into gaseous. the water reacts with the sodium and the reaction generates enough. Chlorine Gas + Sodium Metal.
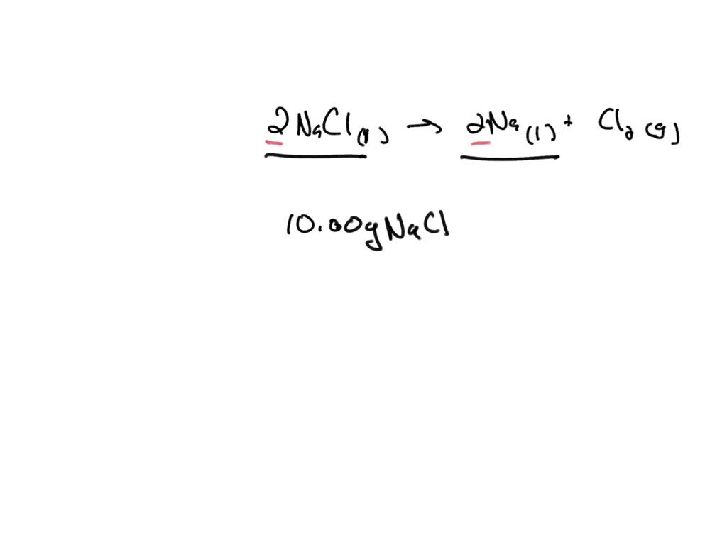
From www.numerade.com
Sodium metal and chlorine gas can be produced by the electrolysis of Chlorine Gas + Sodium Metal The hot sodium reacts with the. the water reacts with the sodium and the reaction generates enough heat to melt the sodium. in another example of a chemical reaction, sodium metal reacts with chlorine gas to form solid sodium chloride. reaction of sodium and chlorine. the reaction product is sodium chloride (table salt). If you perform. Chlorine Gas + Sodium Metal.
From fphoto.photoshelter.com
sodium chlorine elements Fundamental Photographs The Art of Science Chlorine Gas + Sodium Metal In this demonstration, sodium metal reacts with chlorine gas to produce sodium chloride. If you perform this experiment incorrectly, however, you can end up with broken gas jars and confusing results. sodium metal is melted using a bunsen burner and then lowered into gaseous. the reaction product is sodium chloride (table salt). The hot sodium reacts with the.. Chlorine Gas + Sodium Metal.